Khb Ting 2 Bab 8 Perniagaan Dan Keusahawanan
Kh Tingkatan 1 Perdagangan Dan Keusahawanan Bab 3 Dokumen Perniag
Perdagangan Dan Keusahawanan Ting 2
Ppt Khb Ting 3 2017 Perdagangan
Rpt Khb Dan Pbs Tingkatan Satu 2013
Kemahiran Hidup Perdagangan Trial Paper Collection
Khb Ting 3 Bab 6 Perniagaan Dan Keusahawanan
Revisi Mobil Khb Perdagangan Dan Keusahawanan Pt3 Tingkatan 1 2 3
Kemahiran Hidup Perdagangan Dan Perusahawan Q A
Ppt Khb Ting 3 2017 Perdagangan Jawapan
Kemahiran Hidup Bersepadu Pilihan 4 Perdagangan Dan Keusahawanan
Buku Latihan Kemahiran Hidup Bersepadu Perdagangan Dan Keusahawanan Textbooks On Carousell
Bahan Kecemerlangan 9 Peperiksaan Percubaan Pt3 Negeri Terengganu Khb Perdagangan
Pppm Khb Pk Tingkatan 3
Sukatan Pelajaran Kh Ting 1
Borang Kelompok Pbs Kemahiran Hidup Pilihan 4 Khb Pk Tingkatan 2
Cikgu Yurhamy Soalan Akhir Tahun Khb Perdagangan Dan Keusahawanan 2013
Program Selepas Pt3 Pelajar Khb Ekonomi Rumah Tangga Perdagangan Dan Keusahawanan Be The Best Beat The Rest
Unicorns Books For Sell
Contoh Soalan Pt3 Khb Perdagangan Dan Keusahawanan Persoalan Q
Modul Kerja Kursus
Pmr Percubaan 2009 Pahang Kemahiran Hidup Kt
Perdagangan Dan Keusahawanan Bidang Teknik Vokasional
Bab 6 Elektronik F2 F3
Huraian Sukatan Khb T3
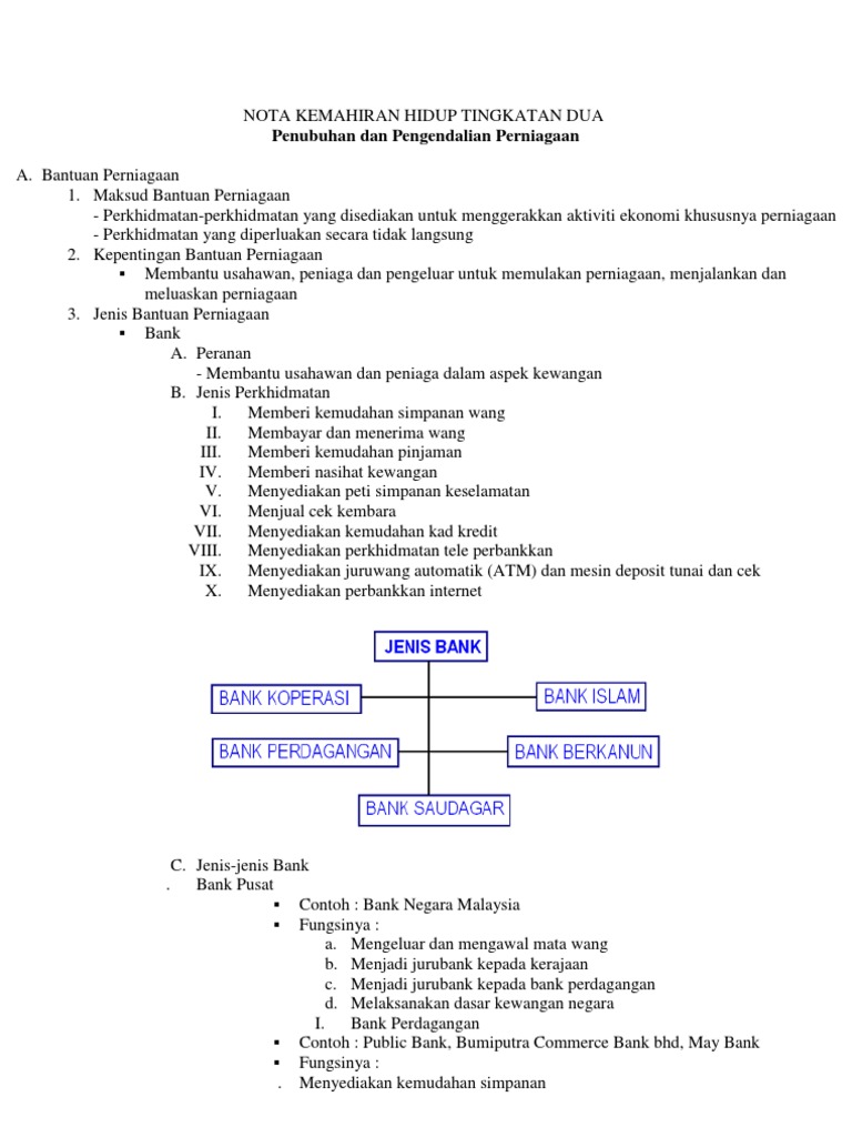
Bab 7 Nota Kemahiran Hidup Tingkatan Dua2
Huraian Sukatan Khb T2
Soalan Final Khb Form 1
Jadual Spesifikasi Item Dan Pecahan Soalan Mengikut Tajuk
Khb Pat Pt2 Docx